prec.
plan de séquence
suiv.
3 Les relations (deuxième partie)
JQuiz Instructions
Show all questions
<=
=>
Dans la relation suivante :
.
Que représente m ?
?
L'unité de longueur (mètre)
?
la masse du mobile en déplacement
?
la mesure de la vitesse
?
le mouvement initiale du mobile
Dans la relation suivante :
.
Que représente g ?
?
L'unité de masse
?
le centre de gravité
?
l'accélération de la pesanteur
Dans la relation suivante :
.
Que représente h ?
?
l'altitude du mobile par rapport au niveau de la mer.
?
l'altitude du mobile par rapport au sol
?
l'altitude du mobile par rapport au point de départ.
?
L'altitude du mobile par rapport à l'origine choisie pour le repère.
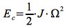
Dans la relation suivante :
.
Que représente J ?
?
l'unité d'énergie
?
la constante d'inertie
?
le moment d'inertie
?
la constante de Joule
Dans la relation suivante :
.
Que représente ?
?
L'unité de résistance
?
la loi d'ohm
?
l'accélération angulaire
?
la vitesse angulaire
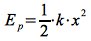
Dans la relation suivante :
Que représente k ?
?
la constante de gravitation
?
la constante de raideur
?
la constante d'inertie
?
la constante de l'énergie
Dans la relation suivante :
Que représente x ?
?
l'inconue du calcul
?
la position du mobile
?
la longueur du ressort
?
l'allongement du resort
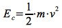
Dans la relation suivante :
Que représente m ?
?
la masse du mobile en déplacement
?
la mesure de la vitesse
?
L'unité de longueur (mètre)
?
le mouvement initiale du mobile
Dans la relation suivante :
Que représente v ?
?
L'unité de tension
?
la vitesse de rotation du mobile
?
la variation de vitesse du mobile
?
la vitesse de translation du mobile
OK
prec.
plan de séquence
suiv.