prec.
plan de séquence
suiv.
3 Les relations (première partie)
Match each pair, and then click the Check button.
Check
Trouver la grandeur qui corespond à la relation
accélération moyenne en translation
vitesse instantanée en translation rectiligne uniformément accélérée quelconque
position en rotation uniforme quelconque
position instantanée en translation rectiligne uniformément accélérée quelconque
vitesse instantanée en translation rectiligne uniformément accélérée sans vitesse initiale
position instantanée en translation rectiligne uniformément accélérée sans vitesse initiale au depart de 0
position instantanée en translation rectiligne uniforme au départ de 0
position instantanée en translation rectiligne uniforme quelconque
Trouver la grandeur qui corespond à la relation
accélération moyenne en translation
vitesse instantanée en translation rectiligne uniformément accélérée quelconque
position en rotation uniforme quelconque
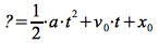
position instantanée en translation rectiligne uniformément accélérée quelconque
vitesse instantanée en translation rectiligne uniformément accélérée sans vitesse initiale
position instantanée en translation rectiligne uniformément accélérée sans vitesse initiale au depart de 0
position instantanée en translation rectiligne uniforme au départ de 0
position instantanée en translation rectiligne uniforme quelconque
Trouver la grandeur qui corespond à la relation
accélération moyenne en translation
vitesse instantanée en translation rectiligne uniformément accélérée quelconque
position en rotation uniforme quelconque
position instantanée en translation rectiligne uniformément accélérée quelconque
vitesse instantanée en translation rectiligne uniformément accélérée sans vitesse initiale
position instantanée en translation rectiligne uniformément accélérée sans vitesse initiale au depart de 0
position instantanée en translation rectiligne uniforme au départ de 0
position instantanée en translation rectiligne uniforme quelconque
Trouver la grandeur qui corespond à la relation
accélération moyenne en translation
vitesse instantanée en translation rectiligne uniformément accélérée quelconque
position en rotation uniforme quelconque
position instantanée en translation rectiligne uniformément accélérée quelconque
vitesse instantanée en translation rectiligne uniformément accélérée sans vitesse initiale
position instantanée en translation rectiligne uniformément accélérée sans vitesse initiale au depart de 0
position instantanée en translation rectiligne uniforme au départ de 0
position instantanée en translation rectiligne uniforme quelconque
Trouver la grandeur qui corespond à la relation
accélération moyenne en translation
vitesse instantanée en translation rectiligne uniformément accélérée quelconque
position en rotation uniforme quelconque
position instantanée en translation rectiligne uniformément accélérée quelconque
vitesse instantanée en translation rectiligne uniformément accélérée sans vitesse initiale
position instantanée en translation rectiligne uniformément accélérée sans vitesse initiale au depart de 0
position instantanée en translation rectiligne uniforme au départ de 0
position instantanée en translation rectiligne uniforme quelconque
Trouver la grandeur qui corespond à la relation
accélération moyenne en translation
vitesse instantanée en translation rectiligne uniformément accélérée quelconque
position en rotation uniforme quelconque
position instantanée en translation rectiligne uniformément accélérée quelconque
vitesse instantanée en translation rectiligne uniformément accélérée sans vitesse initiale
position instantanée en translation rectiligne uniformément accélérée sans vitesse initiale au depart de 0
position instantanée en translation rectiligne uniforme au départ de 0
position instantanée en translation rectiligne uniforme quelconque
Trouver la grandeur qui corespond à la relation
accélération moyenne en translation
vitesse instantanée en translation rectiligne uniformément accélérée quelconque
position en rotation uniforme quelconque
position instantanée en translation rectiligne uniformément accélérée quelconque
vitesse instantanée en translation rectiligne uniformément accélérée sans vitesse initiale
position instantanée en translation rectiligne uniformément accélérée sans vitesse initiale au depart de 0
position instantanée en translation rectiligne uniforme au départ de 0
position instantanée en translation rectiligne uniforme quelconque
Trouver la grandeur qui corespond à la relation
accélération moyenne en translation
vitesse instantanée en translation rectiligne uniformément accélérée quelconque
position en rotation uniforme quelconque
position instantanée en translation rectiligne uniformément accélérée quelconque
vitesse instantanée en translation rectiligne uniformément accélérée sans vitesse initiale
position instantanée en translation rectiligne uniformément accélérée sans vitesse initiale au depart de 0
position instantanée en translation rectiligne uniforme au départ de 0
position instantanée en translation rectiligne uniforme quelconque
Trouver la grandeur qui corespond à la relation
accélération moyenne en translation
vitesse instantanée en translation rectiligne uniformément accélérée quelconque
position en rotation uniforme quelconque
position instantanée en translation rectiligne uniformément accélérée quelconque
vitesse instantanée en translation rectiligne uniformément accélérée sans vitesse initiale
position instantanée en translation rectiligne uniformément accélérée sans vitesse initiale au depart de 0
position instantanée en translation rectiligne uniforme au départ de 0
position instantanée en translation rectiligne uniforme quelconque
Check
OK
prec.
plan de séquence
suiv.