prec.
plan de séquence
suiv.
3 Les relations :
JQuiz Instructions
Show all questions
<=
=>
La relation ci-contre permet de calculer :
?
la chaleur libérée par un résistor.
?
la chaleur échangée par un corps en fonction de sa variation de température
?
la chaleur rayonnée par un corps chaud
?
la chaleur absorbée par de la glace qui fond
Dans la relation ci-contre, Q représente :
?
le quotient calorifique
?
la quantité de matière
?
la chaleur donnée
?
la chaleur reçue
Dans la relation ci-contre, C représente :
?
le couple thermique d'échange
?
la capacité calorifique massique
?
la conductivité minimale d'échange
?
le coefficient thermique de température
Dans la relation ci-contre, m représente :
?
le minimum de température atteint
?
la masse du corps étudié
?
la mesure de température
?
l'unité de longueur
Dans la relation ci-contre,
représente :
?
la variation de température
?
le temps écoulé depuis le début des mesures
?
la période
?
le coefficient thermique
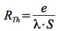
La relation ci-contre permet de relier :
?
la résistance thermique et les températures intérieures et extétieures
?
la résistance thermique et la puissance de chauffauge.
?
la résistance thermique et les caractéristiques du matériau utilisé.
?
la résistance thermique, l'énergie, la capacité calorifique massique et la sélectivité thermique.
Dans la relation ci-contre e représente :
?
l'énergie d'échange thermique
?
l'épaisseur du matériau
?
l'énergie interne du matériau
?
l'enveloppe thermique
Dans la relation ci-contre S représente :
?
la sélectivité thermique massique
?
la source calorifique
?
la séparation de convection
?
la surface du matériau séparant les parties chaudes et froides
Dans la relation ci-contre
représente :
?
la longueur d'onde thermique
?
le coefficient de refroidissement
?
la conductivité thermique
?
la capacité calorifique massique
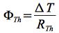
La relation ci-contre permet de calculer :
?
le flux thermique qui traverse un matériau
?
la puissance du système de chauffage
?
le déphasage en fonction de l'énergie et du temps
Dans la relation ci-contre
représente :
?
la phase thermique
?
le flux thermique
?
la phase électromagnétique
?
le flux électromagnétique
Dans la relation ci-contre
représente :
?
le rapport des températures
?
la résistance thermique
?
la résistance de chauffage
Dans la relation ci-contre
représente :
?
la différence de température
?
le coefficient thermique
?
le temps écoulé depuis le début des mesures
?
la période
La relation ci-contre permet de calculer :
?
la longueur d'onde maximale émise par un corps en fonction de sa température.
?
la longueur d'onde d'intensité maximale émise par un corps en fonction de sa température.
?
la longueur d'onde d'énergie maximale émise par un corps en fonction de sa température.
?
la longueur d'onde maximale émise par un corps en fonction de sa période de refroidissement.
Dans la relation ci-contre B représente :
?
la constate de Boltzman et vaut
?
la constante de Wien et vaut
?
le champ magnétique et s'exprime en Tesla.
Dans la relation ci-contre T représente :
?
la température en degré Celcius
?
la température en Kelvin
?
la période en secondes
?
la période en heures
OK
prec.
plan de séquence
suiv.