La relation permet de calculer la puissance perdue dans une ligne. Dans cette relation, R est :
la rapport de la tension et du courant qui traverse la ligne.
la résistance de la charge alimentée par la ligne.
la résistance du fil de ligne.
la résistance interne du générateur
La relation permet de calculer la puissance perdue dans une ligne. Dans cette relation, I est :
Le courant maxi transportable par la ligne.
le courant qui circule dans la ligne
le calibre du disjoncteur qui protège la ligne.
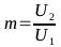
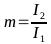
On considère un transformateur de rapport de transformation m. Les indices 1 se raportent au primaire et les indices 2 au secondaire. Parmis les relations présentée ci-dessous trouver celles qui sont justes.